1612 Menyenaraikan komponen kos pengeluaran. Kos pengeluaran mana-mana produk.
Ecn 2013 Teori Kos Dan Pengeluaran
Dengan perubahan kos dari pelaksanaan membezakan.
. Terdapat pelbagai jenis kos pengeluaran sementara ia adalah salah satu faktor utama penerimaan dan pembentukan keuntungan. Kos Pengeluaran Definisi Kos pengeluaran ialah jumlah perbelanjaan yang perlu dibayar oleh firma atas penggunaan. The kos pengeluaran adalah semua pelaburan yang dibuat oleh syarikat untuk.
View Kos Pengeluaranpdf from ECO 162 at Universiti Teknologi Mara. Kos tetap dan berubah-ubah. Mengenai peranan dalam proses pengeluaran.
Kos tetap dan berubah-ubah. 1 Cedar Brook Drive Cranbury New Jersey 08512-3618 609 495-0500 March 28 2005 To Our Shareholders. View Jenis Jawahars record in Piscataway NJ including current phone number address relatives background check report and property record with Whitepages.
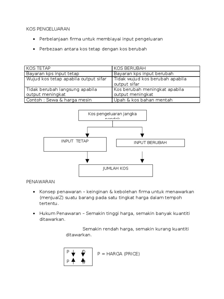
Dalam jangka pendek wujud sekurang-kurangnya satu input tetap. Kos berkadar yang meningkat dengan cara yang sama. Kos pengeluaran ialah segala perbelanjaan terhadap input yang digunakan dalam proses pengeluaran.
Terdapat beberapa jenis klasifikasi kos berubah. Jenis-jenis kos juga dikelaskan mengikut kaedah dan objektif. Syarikat menjana keuntungan apabila pendapatan lebih besar daripada kos pengeluaran.
View their profile including current address phone number 732-356-XXXX background check reports and property record on Whitepages. Ini adalah kos sebagai tambahan kepada dua yang terdahulu yang terlibat dalam pengeluaran. Adakah kos yang terlibat untuk perkhidmatan awam kualiti.
Oleh itu kita boleh menyatakan bahawa kos pengeluaran dan jenis mereka adalah penilaian dalaman terhadap semua kos yang syarikat itu membuat untuk mengalihkan perhatian. Untuk melaksanakan kawalan dan. Mana-mana perniagaan melibatkan kos.
KOS Electric Co Inc in Paterson NJ Photos Reviews 30 building permits for 25700. Dengan sifat hubungan dengan jumlah. Alteration to existing 3rd floor rt.
Contoh-contoh jenis kos pengeluaran ini adalah gaji pekerja di kawasan pentadbiran syarikat sehingga kos menyewa premis di mana ia terletak. Jenis Jawahar age 40s lives in Piscataway NJ. Sekiranya tidak ada maka tidak ada produk yang diletakkan di pasaran.
VIDEO INI BERKAIATAN STANDARD PEMBELAJARAN BERIKUT -1611 Menyatakan konsep kos dan jenis kos. Tujuan aktiviti kebanyakan entiti perniagaan adalah untuk keuntungan dari penjualan barang dan penyediaan perkhidmatan.
Doc Perakaunan Kos Nurul Natasha Mohamed Nazarulla Academia Edu
Ecn 2013 Teori Kos Dan Pengeluaran
Kos Pengeluaran Definisi Fungsi Jenis Lain Lain 2022
Kos Pengeluaran Ekonomi Sumber Pengajaran
Bab 3 Konsep Dan Kegunaan Kos Pengeluaran Ppt Download
Bab 3 Konsep Dan Kegunaan Kos Pengeluaran Ppt Download
Kos Pengeluaran Education Quizizz
4 Kos Pengeluaran Kek Kaedah Putar
Balance Your Life With Accounting Konsep Dan Komponen Kos Perkilangan
Balance Your Life With Accounting Konsep Dan Komponen Kos Perkilangan
Kos Pengeluaran Education Quizizz




